Scooter Braun Reportedly Divests From HYBE
Former HYBE America CEO and American music mogul Scooter Braun has reportedly divested his entire stake in HYBE.

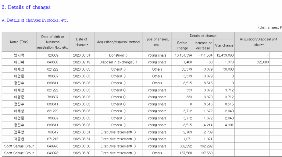
On April 1, KST, multiple social media users reported that Braun had sold all his HYBE shares, citing an official regulatory filing submitted to the Financial Services Commission (FSC).
The filing showed that as of March 30, 2026, Braun had sold all 362,292 of his HYBE shares, effectively removing him as a shareholder. It also stated that Braun’s acquisition-disposal method was “Executive Retirement,” indicating that he had officially exited his executive roles.

Braun had stepped down from his role as CEO of HYBE America in July 2025 but continued to serve as a board director and senior advisor to HYBE chairman Bang Si Hyuk. He was also the second individual largest shareholder in the company.
With the FSC report indicating that all formal ties between Braun and HYBE have been terminated, fans are in a celebratory mood. The demand for HYBE to distance itself from Scooter Braun has been longstanding, especially due to his explicit endorsement of Zionism and other offensive comments.
HYBE Director Scooter Braun Accused Of Endorsing Killing Of Infants In Gaza In New Instagram Post
FINALLY WE ARE FREE FROM 1 DEVIL https://t.co/PbO2O2Q3tt
— Miss Chibibu ⁷ 🎀🌺 (@lejindaryChibi) April 1, 2026
And we cheeeeerrrrrrrr https://t.co/3zPT0q5M2k
— seren𐙚|⊙⊝⊜ (@seren_0613) April 1, 2026
BEST NEWS ALL WEEK https://t.co/sbqDNJskSK pic.twitter.com/tr4P4kjDz2
— eden is seeing bts (@rpwptopia) April 1, 2026
However, many fans deem this to be nothing worthy of celebration, pointing out how deeply HYBE has tied itself to Zionists other than Braun, to the point where his removal alone has a negligible impact.
We take a moment to celebrate this win and remind everyone that our fight is not over just yet until HYBE divests from zionism and the Occupation completely. https://t.co/WQm6k2kBPi
— Connect4Pal (@Connect4Pal) April 1, 2026
Even the Scooter things have not been confirmed yet, don't get too excited.
🔗https://t.co/4gz1zLhOyo https://t.co/GLAeWoJDIW pic.twitter.com/D7daoOaO4P
— Deana April⁷⁼¹ 🐳✨️🍉🇲🇾 (SLOW) (@DeanaApril_MY) April 1, 2026
I’m so apprehensive to feel even the slightest amount of joy abt the possibility of scooter leaving hybe. Because his dirty nasty fingers have already left the mark. And how can we be sure that hybe isn’t still worth boycotting considering the corruption of everyone else.
— alex ⁷ 🍉 (@flyseokjin) April 1, 2026
if the recent news is true, that doesn't change these merch decisions, the tone-deafness, like whatever your approach, keep up pressure when bad decisions are made
— iesha⁷ (@plushiejin) April 1, 2026
Meanwhile, BTS was recently called out for partnering with an Israeli company for a new collaboration. Read more: